金属所催化材料研究部刘洪阳副研究员和博士研究生黄飞等人组成的纳米碳材料负载金属催化剂研究小组与北京大学马丁教授合作,通过调控金属钯(Pd)原子与碳载体之间的相互作用,在纳米金刚石/石墨烯碳载体上制备出原子级分散的单位点Pd催化剂,进一步的研发发现该催化剂在催化乙炔高效选择性加氢应用中作用显著。9月24日,《美国化学会志》(Journal of the American Chemical Society, IF=14.7) 在线发表了该项研究成果(DOI:10.1021/jacs.8b07476),该工作并选为封面文章。
乙炔选择性氢化是工业生产高分子聚合物过程中的重要反应之一。如何选择性将乙炔加氢到乙烯,而避免乙烯进一步氢化到乙烷,是这一反应需要解决的主要问题。负载型Pd催化剂具有很高的乙炔加氢反应活性,但乙烯选择性很低。目前工业上广泛使用的加氢催化剂是经过适当修饰的Pd基催化剂,但仍然存在Pd的原子利用率较低等问题。因此,设计开发兼具高活性,高稳定性和经济实用的加氢催化剂具有重要意义。
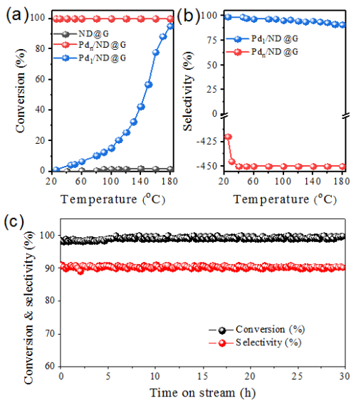
刘洪阳副研究员带领的研究小组致力于新型纳米碳材料负载金属催化剂的研究。经过多年的学术积累,首次利用纳米金刚石/石墨烯复合核壳材料(ND@G)为载体,制备出一种原子级分散高选择性乙炔加氢Pd基催化剂(图1)。通过球差电镜表征(图2)并结合X射线吸收谱表征(图3),证实了Pd在碳载体上的原子级分散形式以及局域配位环境中的电子结构和化学成键??悸堑绞导史从μ逑抵星獾牟斡牒徒峁沟奈榷ㄐ裕枪菇薖d原子与碳载体三配位成键的结构模型,研究了乙炔在此位点的氢化反应机制。利用密度泛函理论(DFT)模拟计算表明,具有单原子Pd活性位点的催化剂,在乙炔氢化反应中,更有利于反应产物乙烯的脱附,进而抑制乙烯进一步加氢反应的进行(图4)。该项研究为开发新型高效选择性加氢催化剂提供了新思路。
上述工作得到了国家基金委面上项目、国家基金委“碳基能源转化”重大研究计划培育项目、科技部重点研发计划“纳米专项”青年科学家项目、中科院青年促进会、中科院金属所和中石化企业项目的支持,以及上海同步辐射光源提供的大力支持。

图 1 催化剂Pdn/ND@G和Pd1/ND@G乙炔加氢反应随温度转化率(a),选择性(b)及Pd1/ND@G在180oC催化稳定性(反应条件:1% 乙炔, 10% 氢气, 20% 乙烯混合气,氦气平衡; 空速(GHSV) = 60000 h-1)

图2 Pd1/ND@G 球差电镜STEM图像

图3 (a) 钯X射线吸收近边结构谱图;(b) 傅里叶变换后R空间径向结构函数;(c, d) Pdn/ND@G和Pd1/ND@G的钯EXAFS振荡小波变换;(d) 最优结构模型图

图 4 Pd1/ND@G催化剂上乙炔加氢反应中间态及能量变化曲线
